Modelagem, biomatemática e mudanças climáticas

Foto: Divulgação
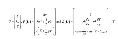
O artigo Numerical Simulation of Saint-Venant Equations with Thermal Energy Dependency: Applications on Global Warming reporta trabalho com modelagem matemática e simulações computacionais que mostra que um aumento na temperatura de 2ºC faz com que as ondas oceânicas ganhem força e avancem em direção ao continente.
Em 2024, orientou Ludmila Rocumba, estudante do curso de Física, em trabalho de Iniciação Científica que fez modelagem matemática usando equações diferenciais parciais e métodos computacionais e, assim, conseguiu simular a chegada ao estado de São Paulo da fumaça das queimadas no Pantanal, que ocorreram naquele ano. A estudante foi premiada pela Sociedade Brasileira de Matemática Aplicada e Computacional, ficando em segundo lugar entre trabalhos de IC.
Também como Iniciação Científica, orientou Laisa Carvalho, do curso de Licenciatura em Matemática, que fez modelagem matemática da propagação de ondas de calor, usando equações diferenciais parciais, métodos computacionais e dados reais. Fez simulações de cenários.
Em Trabalho de Conclusão de Curso, orienta a estudante do curso de Licenciatura em Matemática Amanda Puche, em iniciativa interdisciplinar para abordar as questões climáticas com alunos do 7º ano, em uma escola de Araçoiaba da Serra, vizinha a Sorocaba. Professores de Geografia, História, Química e ela com a Matemática e Física vão trabalhar com grupos de alunos, pesquisando histórico do aquecimento global, investigando o que ocorre nas diferentes regiões do Brasil e analisando dados do Sistema de Estimativas de Gases de Efeito Estufa (SEEG). Ao final, vão fazer na escola uma Mini COP-30, com paineis, para divulgar o trabalho para a comunidade escolar.
Mais informações: http://lattes.cnpq.br/6251988404047002
Responsável: Prof.ª Dr.ª Graciele P. Silveira (Departamento de Física, Química e Matemática - DFQM-So)
Contato: graciele@ufscar.br
